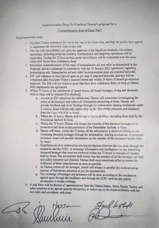
به نقل از تسنیم، طبق سندی که در رسانه های بین المللی منتشر شده است، متن توافق میان حماس و رژیم اسراییل که روز گذشته به امضای طرفین رسید از این قرار است:  مراحل اجرایی پیشنهاد رییس جمهور ترامپ برای پایان جامع جنگ غزه مراحل اجرا: 1. رییس جمهور ترامپ پایان جنگ در نوار غزه را اعلام می کند و طرفین توافق کرده اند که گام های لازم را برای این منظور بردارند. 2. جنگ بلافاصله پس از تأیید دولت اسراییل پایان خواهد یافت. تمام عملیات نظامی، از جمله بمباران نظامی و توپخانه ای و عملیات هدف گیری، به حالت تعلیق در خواهد آمد. در طول 72 ساعت، نظارت هوایی بر مناطقی که نیروهای دفاعی اسراییل از آنها عقب نشینی کرده اند، به حالت تعلیق در خواهد آمد. 3. آغاز فوری ورود کامل کمک های بشردوستانه و امدادی، همانطور که در پیشنهاد تعیین شده است و حداقل مطابق با توافق نامه 19 ژانویه 2025 در مورد کمک های بشردوستانه. مراحل اجرای کمک های بشردوستانه و امدادی به پیوست ارائه شده است. 4. ارتش اسراییل به خطوط مورد توافق طبق نقشه X پیوست این سند عقب نشینی خواهد کرد و این امر پس از اعلام رییس جمهور ترامپ و ظرف 24 ساعت پس از تأیید دولت اسراییل تکمیل خواهد شد. ارتش اسراییل تا زمانی که حماس به طور کامل توافق را اجرا کند، به مناطقی که از آنها عقب نشینی کرده است، باز نخواهد گشت. 5. ظرف 72 ساعت پس از عقب نشینی نیروهای اسراییلی، تمام گروگان های اسراییلی، چه زنده و چه فوت شده، در غزه آزاد خواهند شد (لیست پیوست است). الف. به محض اینکه نیروهای اسراییل عقب نشینی را تکمیل کنند، حماس بررسی وضعیت گروگان ها را آغاز کرده و تمام اطلاعات مربوط به آنها را جمع آوری خواهد کرد. حماس از طریق مکانیسم اشتراک گذاری اطلاعات ذیل بند 5.ه زیر، بازخورد و یافته های خود را ارائه خواهد داد. اسراییل اطلاعات مربوط به زندانیان و بازداشت شدگان فلسطینی از نوار غزه که در اسراییل نگهداری می شوند را ارائه خواهد کرد. ب. حماس ظرف 72 ساعت تمام گروگان های زنده، از جمله گروگان های گروه های فلسطینی در غزه را آزاد خواهد کرد. ج. حماس ظرف 72 ساعت، بقایای گروگان های متوفی که در اختیار خود و گروه های فلسطینی در غزه هستند را آزاد خواهد کرد. د. حماس ظرف 72 ساعت، تمام اطلاعات به دست آمده در مورد گروگان های فوت شده باقی مانده را از طریق مکانیسم اشتراک گذاری اطلاعات در بند (ه) زیر به اشتراک خواهد گذاشت. اسراییل اطلاعات مربوط به بقایای افراد فوت شده غزه که در اسارت اسراییل هستند را ارائه خواهد کرد. ج. ایجاد یک سازوکار تبادل اطلاعات بین دو طرف از طریق میانجیگران و کمیته بین المللی صلیب سرخ، برای تبادل اطلاعات و اخبار مربوط به هرگونه گروگان فوت شده باقی مانده که ظرف 72 ساعت پس گرفته نشده اند یا بقایای ساکنان غزه که در اسارت اسراییل هستند. این سازوکار تضمین می کند که بقایای همه گروگان ها به طور کامل و ایمن از گور بیرون آورده شده و آزاد شوند. حماس تمام تلاش خود را برای اطمینان از اجرای این تعهدات در اسرع وقت به کار خواهد گرفت. و. همزمان با آزادی گروگان ها توسط حماس، اسراییل نیز به موازات آن، تعداد متناظری از زندانیان فلسطینی را طبق فهرست های پیوست آزاد خواهد کرد. 8. تبادل گروگان ها و زندانیان طبق سازوکار مورد توافق از طریق میانجی ها و از طریق کمیته بین المللی صلیب سرخ و بدون هیچ گونه مراسم عمومی یا پوشش رسانه ای انجام خواهد شد. 6. یک گروه ویژه متشکل از نمایندگان ایالات متحده، قطر، مصر، ترکیه و سایر کشورهایی که مورد توافق طرفین قرار خواهند گرفت، تشکیل خواهد شد تا روند اجرا را با دو طرف پیگیری و با آنها هماهنگی کند. |